By: Colin Jessup
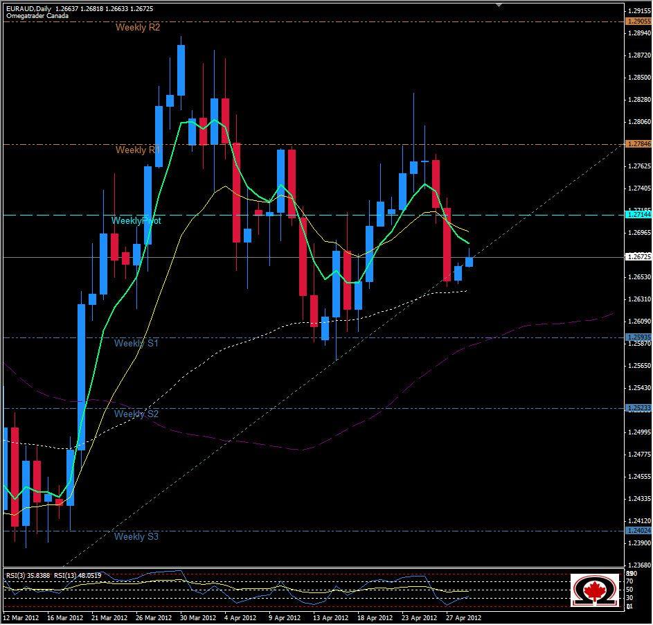
The EUR/AUD daily chart is showing the possibility of a downward extension, or continuation after pulling back to the 38.2% retracement level on its fall from 1.4086 the first week of October 2011, to the 6 month low at 1.2132 in early February of this year. The pair is currently floating on an ascending trend-line drawn from that 6 month low to now, so a close below 1.2650 could signal lower prices to come. With the uncertainty of the Euro as of late, the Australian dollar, propped up by a slightly stronger economy than other parts of the word and a strong export partnership with the largest consumer in the world, China. If indicators are your thing we see a cross of the faster moving 5 EMA under the slower 13 EMA and some separation of these, but we have not yet closed below the 62 day Moving Average as of yet. Resistance above is strong, with the Weekly Pivot at 1.2714 as well as the Daily R1 slightly lower at 1.2706. Price is currently trading under the Daily Pivot as well, which sits at 1.2675 and a technical vacuum exists under last week's low of 1.2644 all the way down to the Daily S1 at 1.2618, and then the combined Weekly S1/Daily S2 both sitting at roughly 1.2590. Although somewhat sideways for the last month, there are lower lows and lower highs to add to the possibility of going further south.
